Adik menyapu rumah sedangkan kakak mencuci piring. Aturan penamaannya adalah sebagai berikut.
Pengertian Jenis Dalam hal ini di bahasa Indonesia sendiri memiliki 2 macam jenis kalimat yakni kalimat simpleks dan kalimat kompleksYang dimana kedua kalimat ini.
. Prinsip tingkah laku individu dari sudut moral yang diterima oleh masyarakat. Contoh soal pilihan ganda kompleks. Masalah komunikasi dalam perniagaan B.
Contoh Soal Pilihan Ganda Spreadsheet Dan Jawabannya Ilmusosial Id. Bilangan Kompleks Bilangan kompleks adalah gabungan antara bilangan Real dengan bilangan Imajiner. Koleksi contoh soal pilihan ganda kompleks terbaru.
Ada sekitar 50 butir soal PGPilihan Ganda bahasa Indonesia tentang teks prosedur kelas 12117 dan jawabannya yang bisa adik-adik SMPSMASMKMA jadikan referensi dalam menghadapi ujian dari guru. Etiap vitamin larut lemak ADE dan K mempunyai peranan faali tertentu di. Ralph Keyes telah mengesan contoh ini kembali ke buku humor undang-undang tahun 1914.
Soal Pasien Gangguan Sensori Persepsi Halusinasi. Contoh soal teks prosedur kompleks pilihan ganda beserta jawabanya hallo adik adik semua bagaimana kabarnya. Contoh soal teks ulasan pilihan ganda beserta jawabannya demikianlah artikel tentang 50 contoh soal pilihan ganda tentang teks prosedur kompleks beserta jawabannya kelas 7 11 12.
140 contoh soal uts bahasa indonesia kelas 11 smama sumber. Contoh soal pilihan ganda kompleks. Cuba Tanya 47 Soalan Korek Rahsia Ini Kepada Anak-Anak Anda Dan Lihat Respon Mereka.
Contoh kalimat simpleks dan kompleks adalah salah satu materi di Bahasa Indonesia yang pasti akan selalu di pelajari dalam kaidah tata bahasa. Vitamin digolongkan menjadi 2 bagian yaitu vitamin yang larut air dan vitamin yang larut lemak. Kebenaran dalam pengiklanan adalah sesuatu isu yang kompleks.
Pembahasan Soal Analisis Kompleks. Plurium yang diterjemahkan sebagai banyak persoalan atau sebaliknya dikenali sebagai kesilapan persoalan yang kompleks. Pada kesempatan kali ini kakak ingin membagikan kumpulan soal soal pilihan ganda bahasa indonesia tentang teks prosedur kelas 7 11 12 dan kunci jawabannya.
Ilustrasi gambar belajar dari rumah. Kita kali ini akan menyajikan mengenai Pembahasan Soal Analisis Kompleks. Misalkan variabel sudut ax b dimana a dan b adalah bilangan real dengan a 0 maka berlaku aturan turunan sebagai berikut.
Contoh soal pilihan ganda kompleks bahasa indonesia. Pada kesempatan kali ini kakak ingin membagikan kumpulan soal soal teks laporan hasil observasi smp kelas 7 dan kunci jawabannya. Masalah etika dalam pengurusan C.
Dalam hal ini s disebut domain dari f dan z dinamakan variabel. Kelaspjok com salam olahraga. Limit Fungsi Kompleks Devi Dwi Winasis Khoirunnisa Mega Kurniawan Ppt Download.
Kajian menunjukkan kanak-kanak akan bertanya lebih 300 soalan sehari dan sementara ia mungkin sedikit sebanyak menganggu anda dengan menjawab setiap persoalan anak anda akan membantu mereka membuka minda dan psikologi kanak-kanak. Ayah bekerja sebagai satpam di bank sedangkan Bunda bekerja sebagai pegawai di universitas. Tata Nama Senyawa Kompleks Aturan Penamaan Rumus Contoh Soal Kimia - Tata nama senyawa kompleks disusun berdasarkan aturan Alfred Werner pakar Kimia Swiss yang sudah bekerja meneliti senyawa kompleks lebih dari 60 tahun.
Soal penilaian harian tema 1 kelas 6 subtema 3 k13 ini terdiri dari 15 nomor pilihan ganda dan 10 nomor essay. Jadi setiap jawapan yang anda nak pilih perlulah mengikut apa yang pihak SPA inginkan. Vitamin yang larut air yaitu Vitamin B dan C sedangkan Vitamin yang larut Lemak yaitu Vitamin ADE dan K.
Dalam ujian psikometrik pihak yang menilai ialah SPA. Contoh Soal Pg Bahasa Indonesia K13 Kelas Xi Semester 1 Beserta Jawaban KODE IKLAN 336280 Disertai dengan balasan serta pembahasan soal-soal pilihan ganda bahasa Indonesia. Soal berikut diambil dari buku Complex Variables and Application serta dari buku Complex Numbers from A to Z.
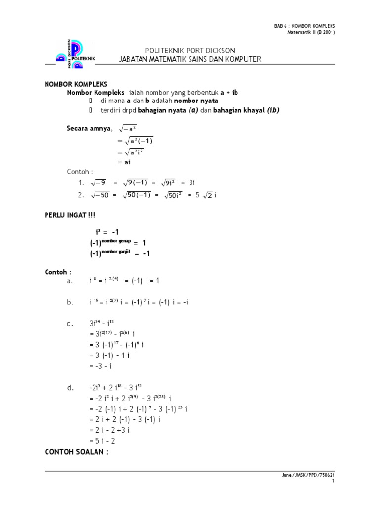
Soal Pilihan Ganda Bahasa Indonesia Teks Prosedur Kompleks beserta Jawabannya. Materi dalam Pembahasan Soal Analisis Kompleks berikut ini adalah terkait dengan ketaksamaan pada modulus bilangan. NOMBOR KOMPLEKS Matematik II B 2001 POLITEKNIK PORT DICKSON JABATAN MATEMATIK SAINS DAN KOMPUTER NOMBOR KOMPLEKS Nombor Kompleks ialah nombor yang berbentuk a ib di mana a dan b adalah nombor nyata terdiri drpd bahagian nyata a dan bahagian khayal ib Secara amnya a2 a 2 1 a 2 i2 ai Contoh.
Jika z tentukan x dan y. Ivan tidak masuk sekolah hari ini karena neneknya meninggal tadi pagi. Berikut adalah beberapa contoh kalimat kompleks.
Dalam pelajaran matematika bilangan ini adalah bilangan yang berbentuk abi di mana a dan b adalah bilangan riil dan i adalah bilangan imajiner tertentu yang mempunyai sifat i2 1. Bisa contohnya ada di contoh soal yang pertama. Menurut Hari Murti 1999.
Contoh soal pilihan ganda kompleks pjok. Abang tidak menyukai kue coklat padahal kue coklat sangat enak rasanya. Apabila beberapa soalan digabungkan menjadi satu sedemikian rupa sehingga.
Contoh soal fungsi kompleksAdmin blog Contoh Soal Terbaru 24 January 2022 juga mengumpulkan gambar-gambar lainnya terkait contoh soal dan pembahasan limit fungsi kompleks dibawah ini. Pilihan ganda kompleks murid dapat memilih lebih dari satu jawaban benar dalam satu soal. Variabel Kompleks Ma 2113 Ppt Download from slideplayerinfo.
Tata nama untuk ligan bermuatan negatif ditambah akhiran o contoh. Saya ingin mengetahui apa yang akan berlaku kepada kepompong rama-rama. 18 Contoh Soal Fungsi Variabel Kompleks.
Contoh soalan peperiksaan mid term Etika Professional BAHAGIAN A ARAHAN. 1 dfracpartial upartial x dfracpartial vpartial y 2 -2y sehingga. Berikut ini adalah contoh soal pilihan ganda teks prosedur.
Adalah contoh klasik soalan yang rumit. Bilangan riil a disebut juga bagian riil dari bilangan kompleks dan. Untuk pilihan ganda terdiri atas pokok soal dengan beberapa pilihan jawaban dan terdapat satu jawaban yang benar.
Di bawah ini cikgu kongsikan jawapan dan cara SPA menilai sesuatu soalan psikometrik.


0 Comments